B1 - representing continuous functions and derivatives
- considering a continuous function,
- the domain can be discretised to a grid of
points, separated by , such that , and , where

image: B Hnat, lecture notes
-
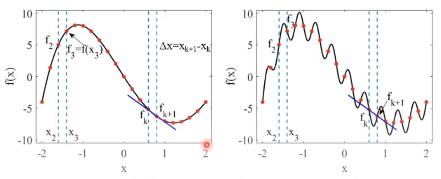
the derivative can be approximated as the slope of a line passing through two neighbouring points, given a smooth function and a fine grid
-
in the above image, the derivative is well represented on the left, but not on the right as the grid is not fine enough for the rapidly varying function
-
the derivative is defined as:
- considering a 1D initial value problem with the differential equation:
, and
- eg:
,

image: B Hnat, lecture notes
-
as
increases, the accuracy deteriorates -
the expression
is the simplest example of the finite difference method