A3 - form factor
- assuming a homogenous particles (uniform electron density)
- each electron is a secondary wave source described as
- the amplitude,
, is the same for all electrons, but is position-dependent - the resulting wave amplitude is:
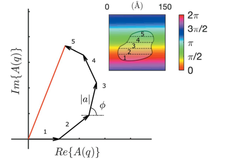
- identical-phases are grouped together, all located at

image: CJ Gommes, S Jakschb and S Frielinghausb (2021)
- the scattered intensity:
where,
-
detectors measure intensity, not amplitude:
-
for small
, , so all scattering centres scatter in phase - all arrows point in the same direction, maximising
- all arrows point in the same direction, maximising
-
for large
, , so different parts of the particle scatter out of phase - arrows point in different directions, lowering
- arrows point in different directions, lowering
-
the transition from plateau (small
) to oscillatory decrease occurs where -
the form factor is the intensity scattered by an individual nanoparticle over a complete range of
-
customarily, the effect of
and are factored out, so the form factor is defined as:
- for small
, - this can be used to calculate the form factors of various spheres
- naturally particles are modelled as sphere of radius,
, with their form factors:

image: CJ Gommes, S Jakschb and S Frielinghausb (2021)
- for nonidentical nanoparticles, the conditions for constructive and destructive interference differ, giving rise to sharp oscillations
- the progressive onset of destructive interference for small
obeys guinier's law:
where,
-
plotting
against often yields a linear trend at low , with slope -
obtained
can be used for an intuitive understanding of particle size -
increasing
beyond the validity limit of guinier's law leads to power laws of the type:

image: CJ Gommes, S Jakschb and S Frielinghausb (2021)
- the specific case of
is porod's law, for structures with clear-cut interfaces