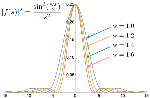
PX156 - C5 - top-hat distribution
- top-hat distribution:

-
the width in
is -
the width in
is inversely proportional to -
important result: a wave packet with width,
, can represent a particle localised in a region of width of order
Select a result to preview

the width in
the width in
important result: a wave packet with width,