PX153 - J6 - parseval's theorem
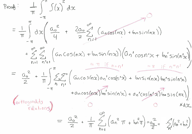
- if , then, $$\frac{1}{\pi} \int_{-\pi}^{\pi} (f(x))^{2},dx = \frac{a_{0}^{2}}{2} + \sum\limits_{n=1}^{\infty} (a_{n}^{2}+ b_{n}^{2})$$
- application in physics: physical waves
- if the energy of a wave is the square of the wave function, the sum of , , is the sum of the energy of individual vibration modes.
- for a complex fourier series,
