A1
vectors
quantities with magnitude and direction
v = | v → | = v x 2 + v y 2 + v z 2 - direction:
v ^ ― = v → | v → |
change in coordinate system will change the vector (doesn't change scalar)
vector fields
describes vector that varies continuously in space
A2
3 linearly independent, usually orthonormal vectors used to define the projection of a vector along their respective directions
v → = ( v ^ x ― , v ^ y ― , v ^ z ) ― = v x e ^ x ― + v 2 e ^ y ― + v 3 e ^ z ― v → = ∑ i = x , y , z v i e ^ i ―
v ^ ― = v x | v → | e ^ x ― + v y | v → | e ^ y ― + v z | v → | e ^ z ― direction cosines
relate to the components of v → to the its angle relative to the cartesian basis vectors
c o s α = v x | v → | , c o s β = v y | v → | , c o s γ = v z | v → | A3
position vectors
position of a point with respect to the origin
usually r →
r → ( P ) = ( r x , r y , r z ) describing motion
position
r → ( t ) = x ( t ) i ^ ― + y ( t ) j ^ ― + z ( t ) k ^ ― velocity
v → ( t ) = d r → ( t ) d t acceleration
a → ( t ) = d v → ( t ) d t = d 2 r → ( t ) d t 2
F → = m a → = m g → a → = d 2 r d t 2 = − g j ^ ― = d v → d t . . . ( i ) v → ( t ) = v → 0 + ∫ 0 t d v → d t d t = v → 0 + ∫ 0 t − g j ^ ― . d t . . . f r o m [ i ] v → = v → 0 − g t j ^ ― r → ( t ) = r → 0 + ∫ 0 t v → ( t ) . d t $ $ $ $ r → ( t ) = r → 0 + v → 0 t − 1 2 g t 2 j ^ ―
the components:
x ( t ) = v 0 x t
y ( t ) = h 0 + v 0 y t − 1 2 g t 2
A4
vector operations
addition and subtraction
u → ± v → = ( u x ± v x , u y ± v y , u z ± v z )
multiplication
scalar/dot product
s = u → ⋅ v →
geometric definition: magnitude of one product projected on the other
s = u → ⋅ v → = | u → | | v → | cos θ
s = u → ⋅ v → = u x v x + u y v y + u z v z
component of u → along v → = u → v = ( u → ⋅ v → v 2 ) v → = ( u → ⋅ v → v ) v ^ ―
cases:
if s = 0 , vectors are perpendicular
i ^ ― ⋅ j ^ ― = j ^ ― ⋅ k ^ ― = k ^ ― ⋅ i ^ ― = 0
if s = u v , vectors are parallel
i ^ ― ⋅ i ^ ― = j ^ ― ⋅ j ^ ― = k ^ ― ⋅ k ^ ― = 1
if s = − u v , vectors are anti-parallel
properties:
vector/cross product
v → = u → × w →
geometric definition:
v → is perpendicular to the plane of u → and w →
v = u w sin θ
calculation:
You can't use 'macro parameter character #' in math mode \vec v = \vec u \times \vec w = (u_yw_z-u_zw_y)\underline{\hat i}+(\vec u_zw_x-u_xw_z)\underline{\hat j}+(\vec u_xw_y-u_yw_x)\underline{\hat k}$$or,  - cases: - if $\vec u$ and $\vec w$ are parallel, $\theta = 0$ and $\vec u \times \vec w = 0$ - if $\vec u$ and $\vec w$ are not parallel, $\vec u \cdot(\vec u \times \vec w) = 0$ - properties: - anti-commutative ## A5 ### coordinate systems - cartesian coordinates - polar coordinates $$(r,\theta) \vec v = \vec u \times \vec w = (u_yw_z-u_zw_y)\underline{\hat i}+(\vec u_zw_x-u_xw_z)\underline{\hat j}+(\vec u_xw_y-u_yw_x)\underline{\hat k}$$or,  - cases: - if $\vec u$ and $\vec w$ are parallel, $\theta = 0$ and $\vec u \times \vec w = 0$ - if $\vec u$ and $\vec w$ are not parallel, $\vec u \cdot(\vec u \times \vec w) = 0$ - properties: - anti-commutative ## A5 ### coordinate systems - cartesian coordinates - polar coordinates $$(r,\theta) where, r = x 2 + y 2 ; θ = arctan y x
- basis vectors vary but are always orthonormal
e ^ r ― = cos θ e ^ x ― + sin θ e ^ y ―
e ^ θ ― = − sin θ e ^ x ― + cos θ e ^ y ―
( r , θ , z )
( θ , ϕ , r ) A6
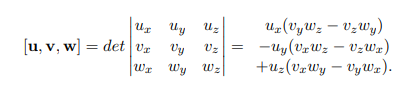
scalar triple product
[ u → , v → , w → ] ≡ u → ⋅ ( v → × w → )
vector triple product
u → × ( v → × w → ) u → × ( v → × w → ) = ( u → ⋅ w → ) v → − ( u → . v → ) w → A7
reciprocal vectors
relevant for non-orthogonal basis sets